Büyüme grafikleri
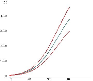
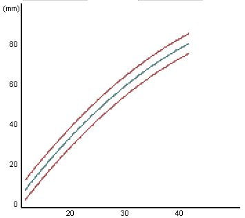
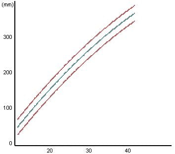
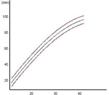
Aşağıdaki grafiklerde ultrason takipleri sırasında bebeklerde yapılan ölçümlerin normal seyrini inceleyebilirsiniz. Grafiklerdeki kırmızı çizgiler normalin alt ve üst sınırını, yeşil çizgi ise bebeklerin %50’sinin izlediği yolu göstermektedir. Grafiklerde alttaki sayılar gebelik haftasını göstermektedir.

BPD: Baş çapı

Femur uzunluğu

Karın çevresi

Tahmini fetal ağırlık
Bu makale içerisinde yer alan bilgiler genel bilgilendirme amaçlıdır ve bilimsel araştırmalara dayalı veriler sunmaktadır. Bu içerik, bir doktorun profesyonel tıbbi tavsiyesi, tanısı veya tedavisinin yerini alamaz. Sağlığınızla ilgili her türlü tıbbi sorunuz için mutlaka doktorunuza danışınız.